|
Variation and Interaction of Distinct Subgenomes Contribute to Growth Diversity in Intergeneric Hybrid Fish |
|
The expression and function of gpr54a and gpr54b in allotriploid crucian carp and diploid red crucian carp (Carassius auratus red var.) |
|
Effect of wogonin, an active ingredient of Scutellariae Radix, on fish infected with Aeromonas hydrophila |
|
Gckr depletion leads to growth retardation and diet-dependent visceral obesity in red crucian carp (Carassius auratus red var.) |
|
mtDNA copy number contributes to growth diversity in allopolyploid fish |
|
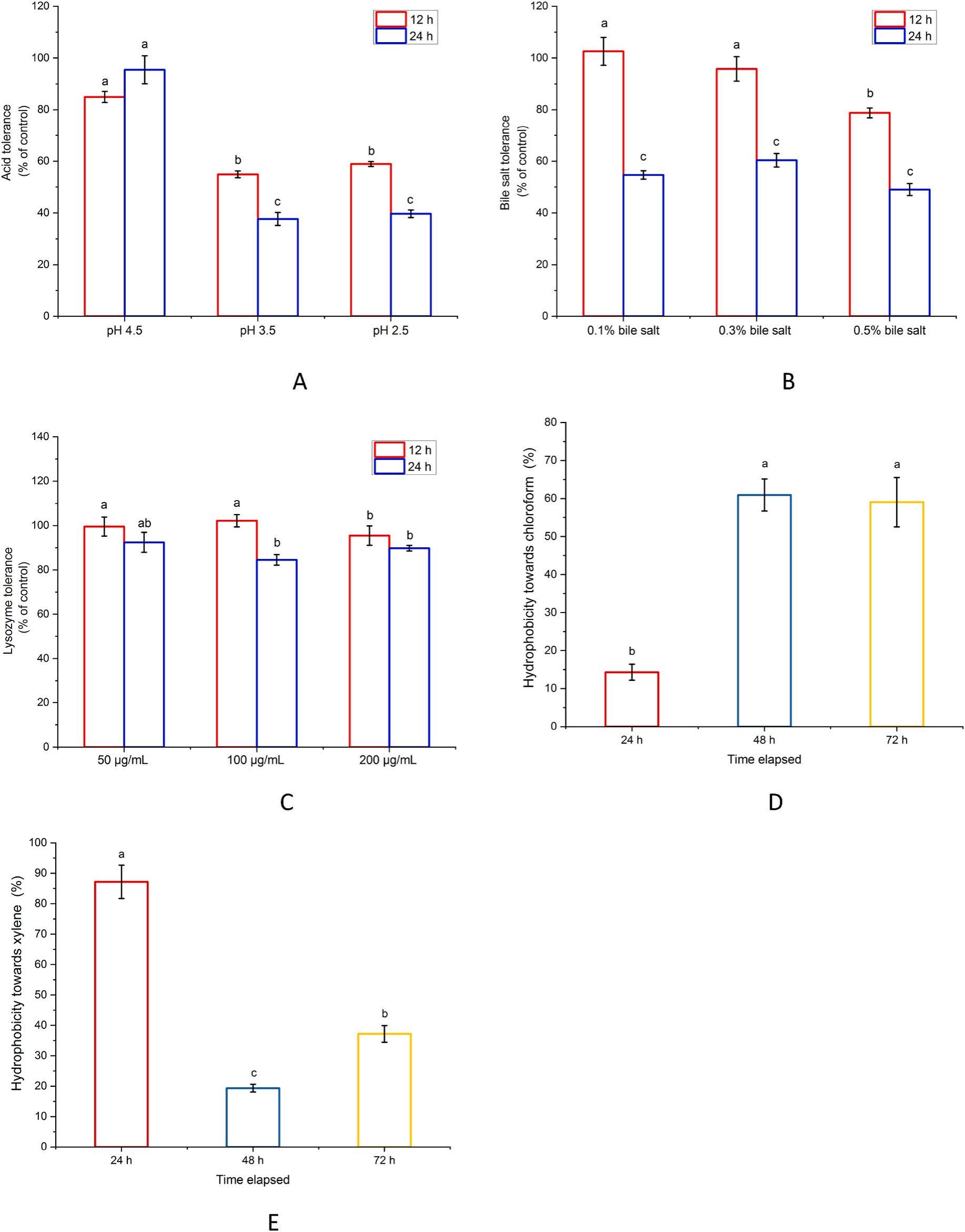
Probiotic characterization of a novel Bacillus cereus strain fkW8-1-2 isolated from intestine of white crucian carp ( Carassius cuvieri ) |
|
Editorial: Population and action mechanism of immune cells in fish |
|
The bisexual natural gynogenetic blunt snout bream lineage derived from the distant hybridization of female blunt snout bream and male Bleeker's yellow tail |
|
A new method for creating androgenetic diploid fish from tetraploid carp sperm and their genetic composition analysis |
|
The analysis of growth performance and expression of growth-related genes in natural gynogenic blunt snout bream muscle derived from the blunt snout bream |